IOSG Weekly Brief |账户抽象会是智能合约钱包的终局吗?#158
2023.1.9-1.15
Part.1 Insight
账户抽象会是智能合约钱包的终局吗?
作者:Sid, IOSG Ventures
本文为IOSG原创内容,仅做行业学习交流之用,不构成任何投资参考。如需引用,请注明来源,转载请联系IOSG团队获取授权及转载须知。钱包的使用体验真的不行了吗
想象一下,你在Facebook上观看每一个视频、或对喜欢的帖子或图片进行评论,都必须先登陆才可以操作,久而久之用户将越来越少甚至不会再使用。
以今天区块链的构建方式,从钱包层、互动层和结算层面,都存在着用户体验上的摩擦。
Hasu (Flashbots的strategy lead,也是Lido Finance的strategic advisor)描述了在与2-3个DeFi 协议互动时使用钱包的一些不好的体验。下图对比了目前的状态和理想状态。
随着许多游戏工作室开始开发链上游戏,以及开发者对开发社交应用程序的兴趣增加,目前的基础设施是否已经准备好接纳下一个10亿用户?在用户体验不好的情况下,又该如何
生态系统现状
增强钱包的用户体验和安全性,也有其他解决方案。我将其分为以下两大类:
账户抽象钱包
使用底层EOA的钱包
MPC(多方计算钱包)类型
MultiSig多签钱包
MPC
多方计算钱包(MPC)是指EOA的单一私钥被分散成更小的碎片,并安全地存储在三个不同的当事方之间。m/n或n/n当事方可以一起签署交易,可以是用户、设备和第三方服务。
分片的密钥通常在链外存储和计算,这可能不符合去中心化的精神,但是一种非常安全的管理钱包的方式。我们可以通过减少私钥管理的障碍来提高用户体验的服务,如SSO可以建立在MPC钱包之上。例如Fireblocks,Anchorage等。
多签钱包
多签钱包是需要2个或更多的外部账户来签署交易的智能合约钱包。多签钱包对个人来说没有太多的使用案例,但对组织来说是非常有效的。在预防单个用户携带属于多人的资金或资产逃跑的情况下,多签名是目前最好的选择。例如作为行业标杆的Gnosis Safe。
帐户抽象钱包
帐户抽象是由EIP-4337解锁的一项新技术,它为Web3的用户打开了新的视野。
让我们在再来深入了解下帐户抽象(AA)。
账户抽象及其重要性
要理解什么是账户抽象,我们需要先了解账户的含义。以太坊(和大多数其他基于EVM的链)有两种类型的账户,分别是:
外部账户(Externally Owned Account, EOA)
合约账户(Contract Account, CA)
外部拥有的账户一般是指用户拥有的钱包账户,合约账户是智能合约地址。在账户抽象中,我们主要谈论的是外部账户EOA。
EOA的架构是使用一对密钥来验证交易: 公钥和私钥。他们被用来证明交易确实是由发件人签署的,从而防止伪造。而私钥是通过用户在打开钱包时获得的 "助记词 "产生的。
私钥用于签署交易来确保交易是由账户所有者签署的,并防止恶意交易。私钥的所有权定义了EOA 的"自我托管 "。
这种架构一定程度上对受过Web3教育的用户来说效果很好,但它存在很多问题。
钱包接入
创建EOA很简单并且是免费的,但每一次交易EOA都必须消耗ETH 。这就需要用户与中心化交易所互动,或请人向他们的外部账户EOA发送ETH 。
第二个问题是用户需要保存助记词。对于之前不了解这种行为的用户,无法明白私钥的重要性。
私钥管理
用户(EOA的拥有者)不知道私钥的重要性,只知道不能和任何人透漏自己的助记词。因此要让用户加入Web3的学习曲线门槛是相当高的,并且过程很繁琐。
对ECDSA签名的依赖
目前在以太坊上签署交易的方法是使用ECDSA签名。ECDSA签名不具有量子对抗性(椭圆曲线Elliptic curve密码学容易受到用于解决椭圆曲线上离散对数问题的改良型肖尔算法Shor’s algo的影响,而量子计算机可以轻松运行肖尔算法)。这虽然不是直接的影响,但考虑到以太坊未来的发展,我们需要思考未来可能出现的情况。
行动 = 交易
今天,用户在链上的任何行动都被认为是一个交易。因此当用户必须执行多个行为来完成交易时,对用户来说是非常低效率的。例如,如果用户要玩一个Web3游戏,当游戏中的每个行为都需要一个交易签名时,这将扼杀游戏的趣味性。
为什么不选择现有的智能合约钱包?
从用户的角度来看,智能合约钱包可以通过新增EOA的私钥管理,然后增加帮助gas补贴的中继器来完成这一切。流程如下图所示。
这个系统的问题是: EOA也仍然需要私钥管理。虽然这些私钥可以被安全地管理,但仍然需要依赖第三方服务MPC/多签名服务提供者。Web3Auth使用MPC系统,而Safe Wallet使用多签名模式。对于gas补贴,也有对中继器的外部依赖(例如Biconomy提供的那样)。
使用这些内置于区块链本身的执行层总是比依赖第三方要好,因为其他的可能会产生故障。
未来走向
随着Vitalik和团队对以太坊整体上废止EOAs的动向说得非常清楚,所有目前正在实施ERC-4337的钱包将失去其目前比EOAs更好的独特价值主张。
说到这里,在这两年里(自账户抽象首次提出以来),实现了ERC-4337的钱包将聚集分布,在用户使用区块链时,钱包是粘性产品。
虽然以太坊的最终目标是将EOAs从以太坊网络中移除,但摆脱EOAs并不像人们想象的那样容易。这其中有一定的权衡。
由于只有ERC-4337的存在,不可能将现有的EOAs转换为AA钱包
Gas效率低下(一个基本的UserOperation需要4.2万,而一个基本交易需要2.1万)
从协议内抗审查技术中获益较少,如crLists(强制验证者将交易添加到mempool的区块中的机制),该机制针对交易会错过用户操作。(crLists不适用于UserOperation mempool)。
以太坊基金会认识到了这些权衡,并提出了一个可能的解决方案来解决这些问题。
将EOA转换为合约账户
需要允许EOAs执行一个设置其合约代码的操作。一旦一个EOA这样做,转变是不可逆的;从那时起,该账户将只作为一个智能合约钱包发挥作用。因此必须创建一个新的EIP。方案中提议创建一个名为 "AUTHUSURP "的函数。(参考阅读:EIP:5003)
降低Gas 当Verkle树上线时,这是可能的(但没有明确的ETD)。然而,将UserOperations捆绑到一个交易中会比在同一个区块中做一个UserOperation更有经济效率。
钱包类型对比
总结
了解了账户抽象是如何工作的,它能解决什么问题,以及它与其他类型钱包的区别。我们可以预测到账户抽象将在以下生态系统中获胜。
游戏:
随着对区块链游戏的预期将在2023年走强,AA钱包将在区块链游戏的成功中发挥举足轻重的作用。链上游戏的用户体验将通过Session Keys得到极大的改善。Session Keys允许用户根据一组参数预先批准一个应用程序的交易:例如一个定量的持续时间,最大的gas数量,一个特定代币的最大交易量,或一个特定合约的特定功能。用户将能够使用一些基本条款来预先批准他们的会话,再点击开始,然后玩游戏,以此避免不断地被他们的钱包轰炸,让你确认此交易。他们只需要在游戏脱机或交换代币时担心区块链的部分。Sequence等钱包供应商已经在与主要的区块链游戏一起做这件事来改善游戏者的体验。
DeFi :
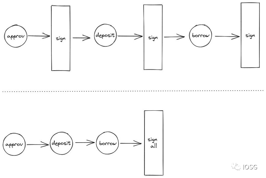
DeFi 用户在使用DeFi 协议时的体验感很差。因为每次用户想在永续期货平台上完成一笔交易,都需要签署两笔交易,并支付两次Gas费用。而在这段时间内,交易价格可能会发生变化。
高频交易者在使用账户抽象钱包时,可以有更快的速度和更好的体验来完成交易。账户抽象允许在单一交易中借助捆绑交易实现dApp之间的互操作。例如现在我可以将ETH 存入Aave,并将收到的AETH 换成USDC,这些都会在一次交易中完成。捆绑交易和会话密钥将帮助现有的DeFi 用户获得更好的体验;基于SDK的方法将不会被DeFi 采用,因为DeFi 是一个私人的和意向性很强的用例,因此我们需要熟悉用户的需求,不能脱离用户。通常DeFi 的用户也很熟悉链上的工作原理。
Web3社交(DeSoc)
Web3社交在2023年有很强的叙事。
随着下一个百万用户将通过DeSoc和NFTs涌入加密货币市场,这会是市场在关注的最大趋势之一。也是建设者们的目标。帐户抽象可以通过SDK以最小的摩擦点帮助用户入驻,并且可能有一些初使用的Gas赞助进入Paymaster来帮助用户有一个流畅的体验,可以使用 Session Keys与社交dApps进行交互。
综上所述基于SDK的账户抽象化方法对于有更多消费者的用例是很好的,例如DeSoc、Web3游戏。同时独立钱包在DeFi 领域也会有更多的应用方向。
Part.2 投融资事件
Creatora完成1000万美元A轮融资,a16z领投
*Metaverse
元宇宙项目Creatora完成1000万美元A轮融资,Andreessen Horowitz(a16z)领投,该笔资金致力于打造以Z世代为中心的元宇宙平台。
据悉,Creatora是一个用户生成内容 (UGC) 元节引擎,使创作者能够创建、分发和MetaFi游戏。Creatora为用户提供加密原生自治世界,其功能包括交叉播放和即时访问。此外,平台内所有建立在土地上的东西都是可交易的。这包括模型、游戏、API等。
Exactly Protocol完成200万美元融资
*DeFi
DeFi 借贷协议Exactly Protocol宣布完成200万美元融资,Synthetix创始人Kain Warwick、Daedalus、Decentraland联合创始人Esteban Ordano共同领投,Bodhi Ventures、Newtopia、NXTP Ventures、Kaszek Ventures等参投。本轮融资将用于扩大团队以及开发产品。Exactly Protocol提供固定利率和可变利率的DeFi 借贷产品,去年11月已在以太坊主网上线。Exactly Protocol计划未来几个月在Optimism上线。
CyberX完成1500万美元A轮融资,Foresight Ventures领投
*Market maker
加密货币做市商CyberX完成1500万美元A轮融资,Foresight Ventures领投。创始人Zack Fan表示,该公司的估值升至“几亿美元的范围”,这笔交易没有其他投资者参与,“尽管其他投资者也有兴趣,但该公司最终还是选择了单一投资者”。这笔基金将用于改进其专有的风险管理框架,该框架实时监控链上和链下数据。
Alkimiya完成720万美元融资,Coinbase Ventures等参投
*算力结构化协议
Alkimiya于去年11月完成720万美元融资,1kx和Castle Island Ventures领投,Dragonfly、Circle Ventures和Coinbase Ventures等参投,这笔资金将主要用于扩大其团队,因为它准备在今年第一季度推出完整的产品套件,包括Vault产品和以太坊主网上的ETH 质押合约。Alkimiya由前Itaú Unibanco工程师Ricardo Grobel和前摩根士丹利员工 Zhang 创立,旨在为矿工和质押验证者等区块空间生产者提供对冲解决方案。Alkimiya承诺通过使区块链生产者能够锁定未来生产的前期固定回报,收益与区块空间生产直接相关。这种对冲解决方案使他们能够管理风险,DeFi 用户可以利用区块链生产者积累的价值。
The Easy Company完成1420万美元种子轮融资
*Web3 wallet
“社交”加密钱包The Easy Company完成1420万美元种子轮融资, Lobby Capital、Relay Ventures、6th Man Ventures、Tapestry、Upside 和 Scribble,以及来自传统社交媒体和 web3 的天使投资人等参投。这笔资金将用于继续构建社交产品,同时也将用于扩大区块链支持。在完成为期 30 天的私人测试阶段后,该公司今日还在 iOS 和 Android 上发布了钱包的公开测试版。Easy 旨在将用户精选的个人资料与引人入胜的社交功能相结合,以便人们可以自行搜索、导航和发现 web3 的世界。Easy 的设计具有跨链功能,目前与以太坊和 Polygon NFT 兼容,并计划在未来支持更多区块链。
Worlds完成2100万美元的A1轮融资,Moneta Ventures领投
*Metaverse
用于构建工业元宇宙的新 4D 基础设施的创建者 Worlds Enterprises, Inc. 近日宣布成功完成其 2120 万美元的 A1 轮融资。该轮融资由 Moneta Ventures 牵头,现有投资者 Align Capital、Green Park & Golf Ventures、Chevron Technology Ventures、Piva Capital、PerotJain 和 Capital Factory 的主要参与方。这笔资金将用于继续投资公司的人工智能平台,扩大关键的上市合作伙伴关系,并进一步扩大工业公司对 Worlds 技术的采用。
Rainmaker Games完成470万美元融资,Placeholder和Hivemind Capital 共同领投
*Game
区块链游戏Rainmaker Games 于上月宣布完成 470 万美元的新一轮种子轮融资,Placeholder 和 Hivemind Capital 共同领投了这轮融资,Hivemind、Shima Capital、Peer Ventures、Coinfund、Side Door Ventures、Blockwall Capital、Placeholder 和 Tokenbay Capital 跟投。Rainmaker 计划在 2023 年初推出其平台测试版。
Web3版“知识星球”DeBox完成200万美元种子轮融资
*Game
新一代Web3版“知识星球”DeBox累计完成200万美元的种子轮融资,由新加坡基金ABCDE领投。据悉,DeBox将从Web3知识付费社群切入到全栈的DAO治理平台,DeBox计划提供一系列功能加强共识管理,包括提案、投票、财务、资本管理、交易、抽奖、合同工具等。
Venom Foundation和Iceberg Capital合作推出十亿美元的Web3基金
*基金融资
位于阿布扎比的 Venom Foundation 和 Iceberg Capital 正在合作投资 10 亿美元用于一系列 web3 应用程序。两家中东投资集团在一份声明中表示,“与区块链无关”的Venom Ventures Fund 旨在投资“创新协议和 Web3 dApps……DeFi 、银行服务和 GameFi”。声明称,前贝莱德高管 Peter Knez 和经验丰富的投资者 Mustafa Kheriba 将加入该基金的领导团队。据报道,除了该基金的公告外,VVF 还进行了其首笔投资,领先于以数字世界为重点的Nümi Metaverse的 2000 万美元融资。
Not Boring Capital推出3000万美元规模的新基金,将投资Web3等领域
*基金融资
风险投资公司Not Boring Capital推出规模为3000万美元的Not Boring Capital Fund III,目前已开放投资申请。该基金的硬上限为5000万美元,将投资于生物技术、能源、教育、Web3和供应链等领域,以及由a16z、红杉资本等VC推出的基金。
Not Boring Capital 2022年投资了包括基于Solana的房地产数字化投资平台Parcl 、NFT基础设施初创公司Co:Create、数字博物馆Arkive、AR NFT项目 Onlybots 开发商Anima以及Web3创作者工具Bonfire等项目。
Part.3 IOSG投后项目进展
MetaMaskPortfolio 将新增ETH 质押功能
*Wallet
ConsenSys表示正在为MetaMask Portfolio添加质押功能,允许用户通过Lido或Rocket Pool这两个以太坊社区验证服务平台进行ETH 质押。MetaMask产品经理Abad Mian称,通过支持在MetaMask Portfolio DApp进行ETH 质押, 可以帮助MetaMask用户与质押提供商互动。客户通过MetaMask Swaps将stETH 和rETH 换回ETH ,但需要支付一定的费用。
TreasureDAO 新提案拟分阶段弃用流动性挖矿Atlas Mine
*GameFi
TreasureDAO发布TIP23提案,计划分阶段逐步弃用流动性挖矿Atlas Mine,旨在转向游戏优先的可持续增长模式。具体过程分三个阶段,其中第1阶段为禁止存款,在Atlas Mine质押1年的大约5000万MAGIC将于1月25日解锁,解锁存款会经历45天的线性释放,不过DAO可以考虑是否移除或保留释放;第2阶段将会关闭Atlas Mine的产出(不包括 Harvesters)。提案还显示,TreasureDAO未来路线图包括:Harvester、围绕Harvester重塑产出、去中心化Steam、玩家代号、全球身份和公会以及社交推荐增长策略。据悉,TreasureDAO以成为“去中心化任天堂”为目标,定位于首要的游戏目的地和游戏发行商。
StarkWare 发布新的StarkNet开源全节点Papyrus
*Layer2
零知识证明技术开发公司StarkWare发布新的StarkNet开源全节点Papyrus,它基于Rust实现,是第三个加入StarkNet生态系统的完整节点,将跟踪StarkNet,允许用户和开发人员通过StarkNet的JSON-RPC查询状态,Papyrus还将为新的StarkNet定序器提供基础,以提高StarkNet的吞吐量。
MakerDAO 社区发起新的参数更改提案,预计将使协议年收入增加约5%
*DeFi
MakerDAO社区发起了一项参数更改提案,提议将以适度的债务上限重新激活Aave-DAI直接存款模块(Aave D3M),提高Compound v2 D3M债务上限,开始逐步规范WSTETH -B金库类型的稳定费用,并增加USDP PSM的费用以避免风险敞口的增加。根据当前的风险水平和市场状况,这些变化将使协议年收入增加约525,000 DAI(比当前水平增加5%),同时增加来自Compound D3M的Maker资金库的COMP奖励。
Kava Network:Kava 12主网推出时间提前至1月18日
*Layer 1
Kava Network宣布将Kava 12主网将于1月18日提前一天推出。Cosmos DAO技术将允许任何Cosmos链分叉并利用Kava改进后的开源DAO进行配置。此前1月6日消息,Kava Network宣布Kava 12主网计划将于1月19日推出,此次更新重点在于发展Kava的链上DAO。
Avalanche 与AWS合作为企业和政府提供区块链解决方案
*Layer 1
亚马逊网络服务(AWS)已与Avalanche母公司Ava Labs达成合作,以帮助扩大企业、机构和政府对区块链的采用。该合作伙伴关系旨在让在Avalanche上启动和管理节点更便利,同时为开发人员提供更多灵活性等方面的支持。AWS将通过其市场支持Avalanche的基础设施和DApp生态,以及一键式节点部署。Ava Labs则计划将其子网部署作为托管服务添加到AWS市场。
ConsenSys 的zkEVM测试网已向100名选定用户开放私人测试版本
*Infra
ConsenSys推出的zkEVM测试网已向选定用户开放私人测试版本,未来几周将面向更多用户。加密 KOL olimpio表示,ConsenSys共向100名白名单用户通过发送了电子邮件,其中包含有关如何开始和桥接Goerli ETH 的说明。
此前2022年12月14日消息,ConsenSys宣布发布zkEVM测试网私人测试版本,其zkEVM可实现EVM等效性,将2023年1月份开始将逐步开放许可名单允许外部用户注册。
Part.4 行业脉搏
以太坊开发者已提交EIP-6269,标准化“完全等效EVM”定义
*Ethereum
以太坊开发者@pcaversaccio在推特上表示,其近期起草并提交了EIP-6269。根据他的介绍,该提案标准化了“完全等效EVM”的定义,完全等效EVM是完全符合以太坊执行客户端规范的最新版本,该定义自2014年4月2日以太坊黄皮书首次发布(第一版)起追溯适用。据悉,EVM等效性实现了“一次编码,随处部署”的可行性,将以太坊的属性扩展到Layer2中,EVM等效性是弥合以太坊L1的基础设施网络效应和以太坊L2的执行环境之间差距的方式。
NFT项目Azuki宣布推出虚拟城市“Hilumia”
*NFT
Azuki宣布正式推出由社区建造的虚拟城市“Hilumia”,Azuki NFT持有者或社区参与者现在可以参与探索,其中包含了一个高品质玩具店Slowpoke's Toy Haven、设计平台Ember Square、滑板爱好者社区Golden Skate Park、以及意见“收集箱”Garden Express。
BAYC将于1月18日通过BAYC Sewer启动铸造游戏Dookey Dash
*Game
Bored Ape Yacht Club(BAYC)宣布1月18日将通过BAYC Sewer启动铸造游戏Dookey Dash,用户需要持有Sewer Pass才能参与,而Sewer Pass将于1月17日开放免费申请。只有BAYC/MAYC持有者可以申请Sewer Pass,Sewer Pass的领取和基于技能的Dookey Dash都将于2月8日关闭(确切时间稍后公布),用户可以无限次玩游戏,但至少玩一次并且得分超过0才能验证个人的Sewer Pass(与所在的钱包相关联),而2月15日经过验证的Sewer Pass将有资格转变为神秘的新能源。Dookey Dash是一款基于技能的铸造游戏,用户可像跑步者一样玩,这是一款随着游戏难度的提高玩家要尝试走得尽可能远的游戏,任务是在下水道(Sewer)中躲避和突破障碍,捡起被称为碎片的物品。
OpenSea推出批量NFT购买功能Sweep,用户可节省Gas费用
*NFT
OpenSea推出批量NFT购买功能Sweep,允许用户在单笔交易中扫描最多30个NFT,这样用户就不再需要依赖第三方聚合器来进行批量购买并且能够有效节省Gas费用。用户可通过“substitute items”选项框自动设定并挑选指定价格以下的NFT,以捕获价格快速移动的收藏品。根据OpenSea发布的演示视频,该功能支持扫描汇总多个NFT项目,用户将NFT添加到“购物车”后滑动滑块即可汇总并显示价格,之后即可执行批量购买操作。
日本国税厅发布对区块链游戏等NFT交易征税的指导方针,涵盖所得税、消费税等情况
*政策监管
日本国税厅今日发布了有关NFT的税务上的一般处理文件,指南除了列举争对NFT征收所得税的案例外,也发布了征收消费税等情况的案例。因游戏内代币的取得和使用情况非常频繁,难以评估,因此将在年末统一进行计算。指南指出,如果个人创建NFT并将其出售给第三方(一次分配),或者如果购买NFT的人将其转售给另一个人(二次分配),则利润是“所得税”,需缴纳税款。如果你把NFT免费送给熟人,赠送的一方可能不征税,但赠与的一方可能征税。某人制作NFT并通过市场销售给日本消费者从中获得报酬时,该NFT制作者将被征收消费税。另外,作为二次流通,将购入的NFT卖给他人时,如果是通过日本经营者进行对价出售的,则对该经营者征收消费税。
通过区块链游戏获得的报酬原则上被划分为“杂项收入”,是所得税的征税对象。但作为报酬获得的游戏内代币,如果只能在游戏内使用,则不被视为所得税征税对象。另外,对于此前不明确的“因不正当访问导致NFT被盗、消失的情况”等,也明确了税法上的原则性处理。但是,FAQ只是关于一般处理的回答,需要注意具体问题将具体对待,因此确定申报时的详细计算方法需要向专家和国税厅确认。
IOSG Weekly Brief |账户抽象会是智能合约钱包的终局吗?#158
2023.1.9-1.15Part.1Insight账户抽象会是智能合约钱包的终局吗?</h2>作者:Sid,IOSGVentures本文为IOSG原创内容,仅做行业学习交流之用,不构成任何投资参考。如需引用,请注明来源,转载请联系IOSG团队获取授权及...
V神:以太坊应用生态系统中的什么让我感到兴奋文章作者:VitalikButerin文章编译:Blockunicorn十年前,五年前,甚至两年前,我对以太坊和区块链能为世界做些什么的看法都非常抽象。“这是一种通用技术,就像c++一样”,我会说,当然,它有一些特定的特性,比如...
A&T View:以太坊质押可提取价值中的投资机会01摘要TL;DR:来源上,ETHStakingExtractableValue可以分为ConsensusIncome、ExecutionIncome和MEV三类;流向上,ETHStakingExtractableValue可以分为ValidatorCapturedValue(ValidatorStakingIncome)和ValidatorUn...
零知识证明网络:一种自顶向下方法导语本文不重在讲述ZK技术的技术细节,而在于尽可能多的描绘ZK的应用方向,ZK技术的迭代仍在持续进行中,但是技术的落地需要应用来承载,我们会从最接近用户的应用层逐步深入至底层EVM、L2、跨链桥和公链。在社会化...
IOSG Weekly Brief | 流支付——区块链赋能的支付新范式 #1542022.12.12-12.18Part.1Insight流支付——区块链赋能的支付新范式作者:Leo,IOSGVentures本文为IOSG原创内容,仅做行业学习交流之用,不构成任何投资参考。如需引用,请注明来源,转载请联系IOSG团队获取授权及转载...
近期最火热的 NFT:goblintown.wtf 市值达 1.5 亿美金,地板价达 7.9ETH
OpenSea数据显示,近24小时,goblintown.wtf交易量超过4800ETH,位列站内第一,地板价已达7.9ETH,是近期最...
巴哈马银行 Capital Union 表示持有 Tether(USDT)稳定币发行商的部分准备金
巴哈马银行CapitalUnion表示持有Tether(USDT)稳定币发行商的部分准备金,并已经向其专业客户推出了加密货...
BLOCKv 和 Tether 联创 Reeve Collins:Terra 的崩溃给加密货币市场带来了冲击波,可能带来大多数算法稳定币的终结
据CNBC报道,BLOCKv和Tether联创ReeveCollins表示,“像terraUSD这样的算法稳定币不太可能存活,它的崩溃给...
Web3收入情况概览:Ethereum成最强收入机器
TLDR;结论:(1)总收入:Web3商业模式已经大有发展,其中最强大的仍然是“出售区块空间”,其次是NFT交易...